Home page 


Dr R J Errington

Materials Chemistry


ROPA

A Molecular Approach to the Preparation of Thin Borate Films for Integrated Optical Applications.

Final Report: Grant GR/L72862

Based on preliminary results from this laboratory, this project was undertaken to develop methods for the synthesis of metal alkoxide compounds containing boron which might serve as molecular precursors in the chemical solution deposition (CSD) of thin metal borate films. As such it provided an opportunity to apply expertise in alkoxide synthesis and characterisation (both in the solid state and in solution) to a novel area of materials chemistry in an effort to understand the factors affecting the properties of the materials obtained. In the original grant application, funding was requested for 24 months and the overall aim and individual goals were as detailed below.

Original Aim of the Project

Original Goals:

The award of funds for only 18 months required a slight revision of the aim and goals to those shown below, as much of the materials work was scheduled for the final 6 months.

Revised Aim of the Project

Goals:

Achievements:

 

 

 

In the following sections 1-4, these aspects of the project are described in greater detail.


1. Installation of a "clean box" for the preparation of thin films by CSD

Prior to the award of this grant, we relied upon access to clean-room facilities in other departments in order to prepare our thin films. This highly unsatisfactory arrangement was hindering progress in our materials chemistry research and an in-house facility was urgently required. This grant has enabled us to install a filtered atmosphere "clean box" in our laboratory for film deposition, and the schematic diagram in Fig.1 shows its essential features.

 

Fig. 1 "Clean Box" for the preparation of thin films by CSD.

 

The 3 glove-port box was supplied by Saffron and the furnace was constructed and fitted to the box in house. The atmosphere inside the box is not routinely dried, but it is filtered through a HEPA filter and solvent vapours are removed on an activated charcoal column. Nitrogen from a boil-off stream is used as the top-up gas. Inside the box, air-sensitive compounds are handled using Schlenk techniques with a small vacuum/nitrogen manifold so that precursor solutions can be used and stored without degradation. Substrates are held on the spinner with a vacuum chuck and solutions are deposited from a syringe or dropping pipette before spinning. A hotplate next to the spinner is used for intermediate drying/calcining between layer depositions and samples are then transferred through a small door in the wall of the box to the furnace for higher temperature processing or final firing, which is carried out under a gas purge (e.g. dry/wet nitrogen or oxygen). The hotplate and furnace are controlled by external electronic controllers.

With this facility, films can be deposited as soon as required after the solution has been prepared in the adjoining laboratory and we now have much greater control over the whole process. Since its installation, we have investigated the deposition of barium borate (BBO), lead germanate (PGO), lead zirconate titanate (PZT) and bismuth tungstate (BTO) from molecular precursors by CSD. Section 3 summarises the BBO deposition results and the preparation of oriented BTO films is described for the first time in section 4.


2. Synthetic studies on group 2 metalloborates.

Compounds containing phenoxoborate [BO(Ph)4]-.

Our initial work in this area showed that the hexanuclear barium phenoxide [Ba6(OPh)12(tmeda)2] reacts with B(OPh)3 in thf to give the mixed phenoxide [(thf)4BaB2(OPh)8] 1. This demonstrated that boron aryloxides are sufficiently Lewis acidic to react with barium aryloxides and give aryloxo-bridge species. Preliminary film deposition studies using this precursor established that oriented b-BaB2O4 was formed, but other material was also present in the film. The main aim of this project was to find alternative precurors that would decompose cleanly to b-BaB2O4, so we first had to establish what types of (a) ancillary ligands and (b) alkoxo ligands could be incorporated into barium aryloxo- and alkoxoborates. It was soon found that 1 can be obtained readily in high yield from the more convenient reaction between Ba metal and phenol in the presence of B(OPh)3. This approach was used to study the effect of varying the ancillary ether ligands coordinated to barium.1

 

Table 1. Barium compounds and their dB(w1/2) values.a

(click on compound number for picture of structure)

Compound

dB(w1/2)

1

[(thf)4BaB2(OPh)8]

1.69 (34)

2

[(dme)2BaB2(OPh)8]

2.00 (34)

3

[(diglyme)3Ba][B(OPh)4]2

1.85 (9)

4

[(triglyme)2Ba(thf)][B(OPh)4]2

1.88 (12)

5

[(tetraglyme)2Ba][B(OPh)4]2

1.71 (11)

6

[(12-crown-4)BaB2(OPh)8]

1.69 (12)

7

[(18-crown-6)Ba(OPh)2].PhOH

&endash;

a dB values in ppm relative to BF3.Et2O; line widths in Hz.

A series of compounds with polydentate ethers MeO(CH2CH2O)nMe and crown ethers was prepared and crystal structures were determined whenever possible (Table 1). As might have been expected, the coordination geometry of Ba is sensitive to the nature of the ancillary ligands but, in addition, these ligands clearly affect the amount of interaction between Lewis acidic B(OPh)3 and the phenoxo ligands on barium. Fig. 2 illustrates the three possible scenarios in mixtures of B(OPh)3 and LnB(OPh)2 from independent species through mixed phenoxide to a barium tetraphenoxoborate salt. The nature of the structurally characterised compounds changes from molecular species containing chelating [B(OPh)4]- ligands [LnBa{B(OPh)4}2], (1 and 2) with mono- or bidentate ethers to ionic species with isolated [LnBa]2+ and [B(OPh)4]- (3-5) with tri- or tetradentade ethers. In the presence of 18-crown-6 only the barium phenoxide derivative [(18-crown-6)Ba(OPh)2].PhOH (7) was isolated.

 

Fig. 2. Interactions between B(OPh)3 and LnBa(OPh)2

 

Solutions of these compounds were studied using 11B NMR spectroscopy to establish whether their structures were retained in solution. 11B chemical shifts and line widths are characteristic of coordination geometry at boron; higher field signals with narrow line widths being indicative of tetrahedral boron, whereas trigonal boron gives much broader peaks at lower field. Compounds 1-6 all gave peaks at ~2 ppm, with larger line widths for 1 and 2 (~30 Hz) than for 3-6 (~10 Hz), suggesting that the solid state structures are retained in solution for 1-5 (6 has yet to be fully characterised). These structures enabled us to correlate the observed 11B NMR parameters with particular compound types and then use this correlation to study systems where crystals could not be obtained for X-ray structural characterisation.

 

The incorporation of trigonal B centres into molecular precursors  

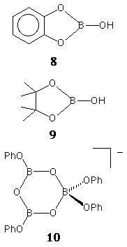
As BBO contains trigonal boron in cyclic B3O63- rings, we reasoned that the incorporation of trigonal boron into BBO precursors may lower processing temperatures. We therefore attempted the synthesis of compounds containing borate ligands 8-10 [e.g. reactions (1) and (2) in thf]. Although results were inconclusive and further work is required in this area, the 11B NMR spectrum of the product from reaction (2) contained two peaks in the region 10-20 ppm, consistent with trigonal boron.

Ba +2PhOH + 2B3O3(OPh)3 Æ (1)

Ba{N(SiMe3)2}2 + (o-C6H4O2)BOH Æ (2)

 

The synthesis of alkoxide analogues

Ba + 2MeOH + 2B(OMe)3 Æ (3)

Ba + 2HOC2H4OMe + 2B(OC2H4OMe)3 Æ (4)

Ba + HOC2H4OMe + 2B(OEt)3 Æ (5)

Ba + (HOC2H4)2NH + 2B(OEt)3 Æ (6)

XRD analysis of films prepared from phenoxide compounds (see section 3) showed that decomposition to BBO did not proceed cleanly. Alkoxides usually have available lower energy decomposition pathways than aryloxides, so we expected barium alkoxoborates to decompose more readily than the phenoxoborates. However, only B(OMe)3 had previously been shown to interact with other metal alkoxides, and all attempts to obtain methoxo derivatives by reaction (3) in the presence of various ether ligands resulted in the formation of insoluble products. Reactions (4)-(6) were more successful in that they gave soluble products and, although time constraints did not allow these compounds to be fully characterised, the 11B NMR spectrum of the product from reaction (4) contained a peak at -6 ppm with w1/2 20 Hz, indicating that tetrahedral boron was present in solution. This is the first evidence for the formation of a tetraalkoxoborate other than [B(OMe)4]- and suggests that a neutral molecular species [BaB2{O(CH2)2OMe}8] 11 is present in solution. Note in particular that reaction (4) was carried out in toluene without the addition of extra ether ligands, so the methoxy groups of the alkoxides are presumed to be coordinated to barium in some way. All attempts to obtain crystals of this compound have been unsuccessful, but toluene solutions of 11 have been used to deposit thin films of BBO and XRD analysis results show them to be of higher quality than those from phenoxoborates (see section 3).

 

Metalloborates of other group 2 elements

In order to establish whether a similar molecular approach to other metal borate materials could be adopted, we used a similar synthetic strategy in our attempts to prepare phenoxoborates of other group 2 metals. This proved to be successful and we have now prepared a range of compounds with structurally characterised examples for all group 2 metals from Mg to Sr in addition to the previously described barium compounds. Table 2 shows the compounds and their 11B NMR parameters. It is worth noting that in the 11B NMR spectra of magnesium compounds 12 and 13 and the calcium compound 15, the presence of broad, low field signals indicative of trigonal boron suggests that the structures are dynamic and undergo dissociation in solution, particularly in the absence of an excess of ether ligands.

These synthetic, crystallographic and solution NMR studies provide for the first time a fundamental understanding of the solution behaviour of group 2 metal alkoxoborates. This knowledge will enable the properties of molecular precursors to be further optimised for the solution deposition of b-barium borate films.

Table 2.

(click on compound number for picture of structure)

Compound

dB(w1/2)

12

[(Et2O)2Mg2B2(OPh)10]

1.88 (174), 15.71 (166)

13

[(diglyme)MgB2(OPh)8]

1.42 (53), 15.2 (175)

14

[(thf)2CaB2(OPh)8]

1.69 (34)

15

[(dme)CaB2(OPh)8]

1.49 (21), 15.33 (161)

16

[(thf)6Sr4B2(OPh)14]

1.70 (26)

17

[(dme)2SrB2(OPh)8]

1.79 (29)

18

[(diglyme)3Sr][B(OPh)4]2

1.76 (19)

19

[(triglyme)2Sr][B(OPh)4]2

1.70 (16)

20

[(tetraglyme)2Sr][B(OPh)4]2

2.00 (20)

21

[(12-crown-4)Sr][B(OPh)4]2

1.54 (16)


3. Deposition of b-barium borate films from barium phenoxo- and alkoxoborates.

Solutions of the metalloborate precursors in toluene or thf were deposited onto platinised silicon wafers (Pt/Ti/SiO2/Si) by spin coating at ca. 3000 rpm. In most cases, after preliminary heating to ~120 oC, the deposition process was repeated to give three layers before final firing. We were unable to carry out in situ variable temperature XRD studies on the diffractometer available, so instead samples were fired at a lower temperature, taken to the Materials Department for XRD analysis, then brought back to the laboratory for a higher temperature firing and the process was repeated for each temperature in the study. For extended temperature ranges, this laborious process is highly unsatisfactory, but it did provide sufficient information for us to assess several samples in the limited time available, and would not have been possible without the "clean box". Studies of this type would have been extremely difficult if we were using external clean room facilities.

Despite these difficulties, we were able to study film deposition from several of the phenoxide compounds and show that they do not decompose cleanly to oriented b-barium borate films. Although samples investigated in this project provided slightly better quality films than those from our original deposition studies using solutions of 1, other (as yet unidentified) peaks were still present in the XRD patterns.

By contrast, methoxyethoxide precursor solutions which we propose to contain compound 11 gave much better quality films, showing dominant 104 and 006 reflections in their XRD patterns consistent with the few previous reports of BBO thin film deposition.2-4 This demonstrates that alkoxo derivatives decompose more readily than aryloxides and are therefore to be preferred for solution deposition of oxides. We used no special pre-firing treatment after spinning these films and samples were fired under a nitrogen atmosphere, but literature reports3 suggest that improved quality films may be obtained if these samples were calcined in H2O/O2 at 350 oC prior to firing.

In an effort to obtain some insight into the solid state transformations occurring during thermal treatment of the deposited films, unfired multiple-layer films were submitted to Philips for variable temperature XRD analysis on state-of-the-art instruments, but after 8 months the samples have still not been analysed. This delay has caused much frustration and only serves to emphasise the need for new in-house powder XRD facilities at Newcastle University if effective progress is to be made in this and related areas of materials chemistry.

Due to time constraints, films were only deposited onto platinised silicon substrates and we were unable to produce sufficient samples of BBO films for NLO measurements at Durham University. However, now that we have identified a ligand system which can provide good quality films we hope to continue these studies and obtain optically characterised materials on a range of substrates, e.g. glass and sapphire.

 

 

Fig. 3. XRD pattern of BBO from 11 in toluene fired at 645 oC


4. Deposition of bismuth tungstate films by CSD

Bismuth tungstate (BTO) is an attractive material for piezoelectric applications due to its high spontaneous polarisation, but a reversible phase transition and associated volume change which occurs at 920-960 oC causes the material to crack on cooling when prepared by standard high temperature methods. One advantage of solution deposition is that materials may be obtained at low temperatures, often in the range 400-600 oC, so we have been investigating the preparation of bismuth tungstate thin films by CSD in order to avoid the cracking problems encountered with other methods. We have previously shown that BTO powders can be obtained by a sol-gel process from a mixture of tungsten and bismuth methoxyethoxides5 but only recently has the availability of the "clean box" described in section 1 now enabled us to prepare the first examples (to our knowledge) of BTO thin films by chemical solution deposition. Fig. 4 shows the XRD pattern of material deposited on platinised silicon from Bi(OR)3/WO(OR)4 mixture (ratio = 2:1, OR = 2-ethylhexoxide) in toluene. The 010 oriented films were obtained at relatively low temperatures (~500 oC), comparable to the deposition of much studied PZT films. Although further work is necessary to optimise the processing conditions, these results demonstrate that Bi2WO6 may be a viable alternative to PZT for micromechanical piezoelectric applications. Problems with porosity prevented the electrical characterisation of our initial films, but ten-layer films are currently being prepared for electrical characterisation by Prof. R. Whatmore at Cranfield University.

 

 

Fig. 4. XRD pattern of BTO from 2-ethylhexoxide precursors.

 

 

 

 

References

1.

R. J. Errington, M. Tombul, G. L. P. Walker, W. Clegg, S. L. Heath, and L. Horsburgh., J. Chem. Soc., Dalton Trans., 1999, 3533.

2.

S. Hirano, T. Yogo, K. Kikuta and K. Yamagiwa, J. Am. Ceram. Soc., 1992, 75, 2590.

3.

T. Yogo, K. Niwa, K. Kikuta, M. Ichida, A. Nakamura and S. Hirano, J. Mater. Chem., 1997, 7, 929.

4.

D. B. Studebaker, G. T. Stauf, T. H. Baum, T. J. Marks, H. Zhou and G. K. Wong, Appl. Phys. Lett., 1997, 70, 565.

5.

R. J. Errington and J. Havelock, unpublished results.


5. Publications arising from this work.

Tetraphenoxoborate complexes of barium: crystal structures of the metalloborates [Ba(thf)4{B(OPh)4}2] and [Ba(dme)2{B(OPh)4}2]. R. J. Errington, M. Tombul, G. L. P. Walker, W. Clegg, S. L. Heath, and L. Horsburgh., J. Chem. Soc., Dalton Trans., 1999, 3533-3534.

Two further papers on the metalloborates are in preparation for submission to Inorg. Chem. or Dalton Trans. early in 2000.

In addition, papers are planned on the b-barium borate and bismuth tungstate thin films once further characterisation data on samples are available (for submission to J. Mater. Chem.).